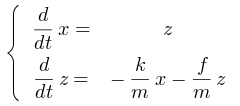
添付の写真(1)のような方程式をMaximaに入力し解析を進めたいのですが、方程式の記述がうまくいきません。
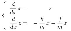
コードの部分を実行すると、添付のスクリーンショット(2)のような出力が得られました。
最終的な方程式の右辺にある[x, y]についても
X(t)と置き換えて表示されるようにするにはどのようにコードを記述すればよいのでしょうか。
また、スクリーンショットのような方程式を用いて解析を続けても正しい結果は得られるのでしょうか。
Maxima
1A :matrix([0,1],[-k/m,-f/m]); 2X :[x,y]; 3diffeqs: [dX(t)/dt = A*X(t)];




